摘要¶
Community Detection in Multi-Layer Graphs: A Survey
本文介绍多层网络下聚落检测问题, 并对相应算法做综述
导论 - 过¶
背景知识¶
群落/社区 community¶
- densely-connected components/subgraph
- relative/similar
比如:
- 同校、 同系、 同班是一个 community
- 同一个社团、 公司
- 同一领域的研究
多层网络模型¶
关系的不同方面就可以表达成多个独立图组成的多层图, 里面的每个、每层图就代表了一个方面
比如:
- 同学关系
- 微信好友
- 微博好友
单层图定义¶
- a weighted graph (V,w)
- V is a set of vertices
- w is a set of edge weights: (V × V ) → [0,1].
点映射(图层之间)¶
- node mapping is a function
- from a graph layer L1 = (V1 ,w1 ) to another graph layer L2 = (V2 ,w2 )
- V1 × V2 → [0,1].
- For each u ∈ V 1 , the set C(u) = {v ∈ V2 |f(u,v) > 0} is the set of V2 vertices corresponding to u.
对于一个facebook上的账号(个人):
- twitter 上没有账号
- twitter 上只有一个号--pillar(柱型) multi-layer graph
- twitter 上多个号
多层图定义¶
- a tuple MLN = (L1 ,...,Ll ,IM)
- where Li = (Vi ,wi ),i ∈ 1,...,l are graph layers
- IM (Identity Mapping) is an l ×l matrix of node mappings, with $ IM_{i,j} : V_i ×V_j → [0,1] $
例:
- 症状
- 疾病名
- 细菌、病毒或基因
信息网络定义:¶
- 是个有向图,
- 存在“点”到“点类别” 的函数映射
- 及 “边”到“关系(边)类别”的函数映射
异构信息网络¶
Heterogeneous Information Networks
点的类别 或 关系的类别个数大于1的信息网络。
异构信息网络与多层网络模型 等价
但强调不太相同
heterogeneous information networks emphasize heterogeneous types of entities connected by different relationships
主要方法¶
分类¶
- 聚类扩展 cluster expansion
- 矩阵分解 matrix factorization
- 统一距离? unified distance
- 基于概率模型 model based
- 模式挖掘 pattern mining
- 图合并 graph merging
特点¶
- 多数只支持两层图
- 一层是图的原始拓扑结构信息
- 其他层一般是利用点的属性信息来计算相似度
聚类扩展¶
Cluster Expansion¶
论文: Scalable community discovery on textual data with relations
基于关系(文章引用)与文本属性
针对的问题¶
大型文档语料 -- large cocument corpus
- 没有同时考虑 textual attribute 和 relations(文献里的引用?)
- 大数据集的可扩展性scalability
- 多数算法基于一堆要(人工)设定的参数
思路¶
非监督方法
- 快速地找到初始的核, 作为群落的种子
- 核进行扩展(或合并merge), 扩展成群落,(提高scalability)
cores dictate the formation and topics of communities
核 用来表示 社区的构造和主题
步骤¶
4 steps:
- core probing
- core merging, 根据主题相似度进行合并
- affiliation, 利用关系信息,将core扩展成初始社区
- classification, 主题不相关的成员从社区中移除
第一步 Core Probing¶
基本思想¶
co-occurrence analysis: multiple objects are linked simultaneously by others, they are more likely to be able to define a coherent topic scope
prob 步骤¶
- 生成每个点的outgoing relations
- 用关联规则来计算频繁项集(Apriori)

与 Apriori 的不同点¶
- 不使用固定的过滤阈值, 根据项集的长度决定阈值
- 项集存在包含关系,如果项集 S1 和 S2存在 $ S1 \in S2 $, 不保留S1
core merging¶
保证了合并后核的高度一致性, 不受过滤阈值的影响
证明过程略
步骤¶
输入参数: core probing 返回的核
迭代:
- 对S中任意一对核Ki, Kj, 如果重叠, 转2
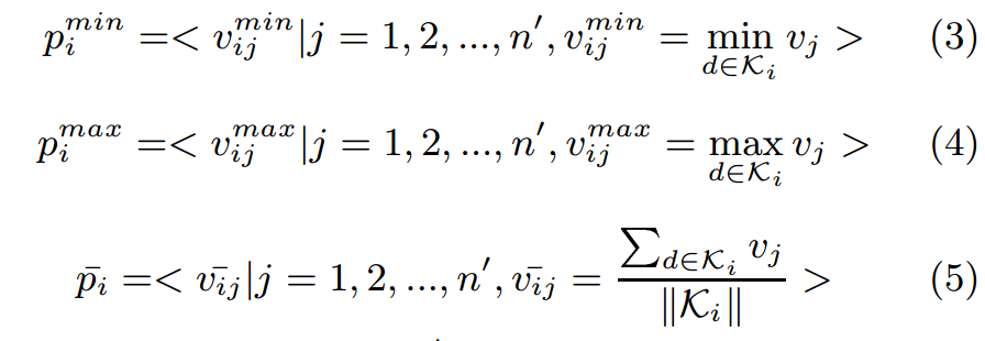
- 计算p-min, p-max, p-
- 如果 Ki, Kj的交集不为空,且 pi- 或 pj- 属于 该交集, 转4
- 从S 中移除Ki, 和 Kj, 加入Ki,Kj的并集。
- 如果遍历完, S 没有变化, 则退出
计算 p-min, p-max, p-¶

- p-min, pmax: 在特征空间内, 为 core生成了边界框
- p- : 中心
图示:¶

Affiliation Propagation¶
完成cores probe后,剩余的点作为 affiliated members
初始化社区C = 找到的核K , 迭代处理:
- 对K中的每个点d,把所有的、其他的、能连到d的点u 加到C中
- 设定迭代次数, 避免关系环
- 或迭代中 没有新的点加入
相关概念¶
好像没什么用
- 两个社区的公共成员则为 interdisciplinary member
- 点和社区间的相近度(closeness)用迭代时的次数代表
Intra-Community Classification¶
只根据relation找到的社区 很可能误判(false hits)
要根据属性分析, 将当前的C 划分成两个集合, C' 和 C-
步骤¶
- 核K 视作是 positive example正例, 即肯定属于这个社区
- 选择社区C的核K(正例) 和 其他社区的核(negative example)
- 将所有点转换成 特征向量(feature vector)来代表它们的topical position
- 使用 LDA(Latent Dirichlet Allocation)来降维
- 使用某种分类器(SVM),将负标签的点都移除
图示¶


主要贡献¶
- 用关联规则、频繁项集来初始化
统一距离¶
Unified Distance¶
structural and attribute similarities using a unified distance measure
SA-Cluster
步骤¶
- 建立统一距离度量, 新的图
- 用新的图 进行聚类, 类k-means
unified distance measure¶
基于属性增广图(attribute-argmented graph), 使用Random Walk with Restart (RWR)
邻点随机游走距离 Neighborhood Random Walk Distance¶

- l as the length that a random walk can go
- c ∈ (0, 1) as the restart probability
attribute-argmented graph¶
- 添加属性点(attribute vertices),代表属性的值。
- 原始的点连接到对应的属性点上
- 两点上共同的属性点越多, 两点相似度直觉上就越高。

聚类算法¶
利用unified distance measure, 进行 k-medoids clustering(类似 k-means)
- 选择每个聚簇(cluster)最中心的点
- 其余点分配给最近的中心点。
- 迭代, 调整边的权重
聚类中心初始化¶
思想: 从vi走 l 步能到的点越多, vi越可能是中心
- 计算点的密度函数:

- 降序排列, 选择前k点作为聚类中心
聚类过程¶
- 分配点到最近的中心,即有最大random walk distance的中心点
- 对每个cluster ,用随机游走距离 计算“平均点”
- 寻找新的中心点,距“平均点”最近
- 不停迭代, 直到 聚类目标函数 收敛
聚类目标函数¶
目标是最大化


问题转化¶
有以上的目标函数后, 可转化成三个子问题
- 聚类分配
- 中心更新
- 权重调整
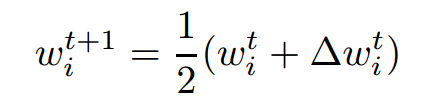
权重自我调整¶
在每次迭代时, 进行权重调整
属性 ai 权重在第t+1次迭代的计算公式为:


投票机制 majority voting mechanism¶
counts the number of vertices within clusters that share the same attribute values with the centroids on ai

主要贡献¶
- 一个统一的距离评估方式, 将结构和属性相似度结合
- 带权重的自调整方法, 调节结构属性相似度的重要度
基于模型方法¶
Model-Based Method¶
model-based community detection approach based on both structural and attribute aspects of a graph
步骤关键点¶
- 概率模型的构建, 结合结构和属性信息, 不使用人工定义的距离
- 变分法(variational approach)解决模型
构建概率模型¶
聚类属性图定义:
- X: n x n 的邻接矩阵
- Y: n x t 的属性矩阵
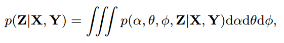
- Z: n x 1 的聚类向量, 即每个点所属的聚类
目标:¶
求最优化:
其中

联合概率分布

- alpha - 每个聚类的点分布(vertex distribution)
- theta - 属性分布(attribute distribution)
- phi - 类间 边出现概率(edge occurrence prob)
两大问题¶
- Z 的N个变量最大化 计算量过大, 全局最优基本不可能
- 计算Z的后验概率分布时, 不存在 p(Z|X,Y)的closed-form expression
变分法 variational algorithm¶
使用variational distribution q(α, θ, φ, Z) 来逼近原分布
并且对 variational distribution 作限制

全局最优就转成求局部最优

两个新问题¶
- 如何定义the family of variational distributions
- 如何从中找出最优分布, 最接近p(α, θ, φ, Z|X, Y)
Parametric Family¶

Optimizing Variational Parameters¶
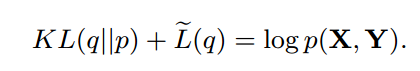
measure the distance between a variational distribution q(α, θ, φ, Z) and the true posterior p(α, θ, φ, Z|X, Y)

等价于 最大化

关系式:

图合并¶
Graph Merging¶
combine structural and attribute information using the graph merging process
CODICIL
步骤¶
- 创建内容边 create content edges
- 边组合 combining edges
- 边采样 sampling edges with bias
- 聚类 clustering
creating content edges¶
- 对每个点vi, 用cosine相似度, 计算k 内容最近邻
- 在vi 和 k近邻间 建立content edges
combining edges¶
将新创建的content edges 和 初始的拓扑边集进行简单的联合(unified)
sampling edges with bias¶
对每个点 vi, 从邻点选择要保留的边, 通过 cosine 相似度或Jaccard 相似度
clustering¶
因为图合并部分独立于community detection, 所以任意 community detection 都可以,
这块不是本文的重点
主要贡献¶
通过 用内容信息消除连接结构里的噪音, 来强化社区信号
矩阵分解¶
Matrix Factorization¶
论文: Community Detection with Edge Content in Social Media Networks
Edge-Induced Matrix Factorization
主要idea¶
- 通过从多层图中抽取相同因子(common factors)
- 把不同信息进行结合
- 使用通用的聚类方法处理
方法¶
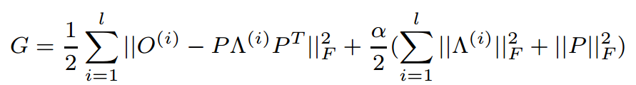
- 使用 低秩矩阵因子分解(low-rank matrix factorization) 来逼近目标矩阵O,

- P: n x n 的特征矩阵
- lambda(大写的?): n x n 特征值矩阵
目标¶
对于多个目标矩阵O^i, i = 1,-,l
要算出一个common factor matrix
求最小化:¶

- P: n x n的所有层 公因子矩阵
- Λ^i: n x n 矩阵, 第i层的特征
- || ·|| is the Frobenius norm
- α: regularization 参数
全局转局部最优¶
迭代处理:
- 固定P , 优化 Λ^i
- 固定Λ^i , 优化 P
- 直到 收敛
模式挖掘¶
Pattern Mining¶
Coherent Closed Quasi-Clique Discovery from Large Dense Graph Databases
Cocain
方法¶
子图挖掘算法, 搜索多层图中频率高于某给定阈值的 quasi-cliques
基础定义¶

gamma(γ)-Quasi-clique¶

cross-graph quasi-clique:¶
a set of vertices
- belonging to a quasi-clique
- appears on all layers
- must be the maximal set
Edge Cut, Edge Connectivity¶
- edge cut is a set of edges Ec such that G'=(V ,E-Ec) is disconnected
- A minimum cut is the smallest set among all edge cuts.
- The edge connectivity of G, denoted by κ(G), is the size of the minimum cut
coherent subgraph: a subgraph that satisfies a minimum cut bound
gamma(γ)-Isomorphism 同构¶
若两个图G1, G2是 gamma同构, 当且仅当:
- 都是 γgamma-quasi-cliques
- 点个数相同
- 存在 biject f:V1->V2, 对V1中的每个点v, 满足F1(v) = F2(f(v))
multiset¶
- 点的标签的集合(a bag of vertex labels)
- 忽略顺序
- 突出多样性
- 定义为 M(G), G的multiset
string of a graph¶
Given a k-graph g, any sequence of all elements in M(g)
给定 k-graph g, M(g)的任意一种序列
canonical form of a graph¶
the minimum string among all its strings and denoted by CF(G)
图的最小 string, 记作 CF(G)
有引理:
两个γ-quasi-cliques Q1 Q2 是γ同构, 当且仅当 CF(Q1) = CF(Q2)
步骤¶
- 将子图转成 canonical forms
- 枚举γ-quasi-cliques可行解(feasible candidate for γ-quasi-cliques), 用DFS策略进行剪枝
- 基于 闭包检查规划(closure-checking scheme), 选择出闭包的 γ-quasi-cliques
枚举策略¶
- 枚举树
- 满足: 子代必须能归入祖先
关键:
对每个 quasi-clique Q, 处理完它的子代后, 进行闭包检查
主要贡献¶
find cross-graph quasi-cliques in a multi-layer graph that are frequent, coherent, and closed
另一篇模式挖掘¶
论文¶
论文: Mining Coherent Subgraphs in Multi-Layer Graphs with Edge Labels
本文贡献¶
- 提出了带边标签的多层图聚类的新范式
- 提出了MLCS, 避免了结果集的冗余
- 提出了最好优先搜索算法MiMAG 来求MLCS聚类的近似解
multi-layer coherent subgraph (MLCS) model¶
clusters of vertices that are densely connected by edges with similar labels in a subset of the graph layers
找聚类, 满足条件:在某层的图中,不仅边的密度高,且具有相似的标签。
the edge labels represent characteristics of the relations
quasi-clique¶
One-dimensional MLCS cluster
One-dimensional MLCS cluster¶
某一图(层)的点集满足以下条件:
- 形成一个 0.5-quasi-clique
- 点集的每条边的两个顶点: dist(l_i(x), l_i(y)) <= w, edge label 为连续值时需要w, 不然置为0.
多层 MLCS cluster¶
冗余关系 redundancey relation¶
MiMAG 算法¶
Mining Multi-layered, Attributed Graphs
计算出最大化、 无冗余、 高质量(不是最优质量)的聚类
基于寻找quasi-cliques的快速算法。
总结¶
¶
- Apriori 频繁项集的, 特例或通用
- 随机游走
- 概率模型
- 矩阵分解
- clique
community 没有严格定义
未来研究方向¶
通用多层图的适应性¶
General multi-layer graph applicability
当前算法一般仅研究了 pillar(柱形)多层图
现实世界不保证不同层之间正好一一对应
所以现有算法的泛化, 对通用多层图的适应性非常有意义
多层图的不确定性¶
Uncertainty in multi-layer graphs
现有的研究都假定 图数据已经清理完毕, 缺少噪音、歧义的研究
constructing multi-layer graphs with entity resolution and/or trustworthy analysis certainly enhances the quality of the community detection process
可扩展性问题¶
所以可能要考虑并行及分布式之类的方法
或是对多层图的特征向量矩阵(feature-vector matrices)进行采样
Temporal analysis¶
图是随时间变化的。
目前存在一些对单层图的时间变化的研究, 但基本不可用于多层图