
原始的softmax和交叉熵CrossEntropy¶
Softmax使用Boltzmann分布(又名吉布斯分布)

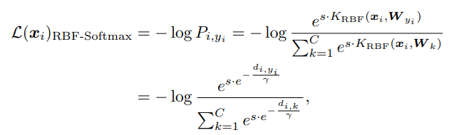
二维时特征分布示意图:

怎么改¶
| “能给他接的全给他接上, 什么是成功人士你知道吗?” 所以,我们的原则就是: !!!能改的都给它改了!!! |
![]() ![]() |
这么改¶
| 所以,可以从以下角度 1. 分布, 玻尔兹曼分布 -> 高斯分布 2. 距离 2.1 到类中心的距离 2.2 到分类超平面的距离 3. 内积角度 4. 范数, 半径为1的球面 5. 对比的对象,不跟自己其他类的输出值比较了 |
![]() ![]() |
从内积角度¶
给角度加间隔¶
论文:Large-Margin Softmax Loss for Convolutional Neural Networks, ICML2016 https://arxiv.org/abs/1612.02295
从距离¶
到各个类的中心距离 Center Loss¶
即L2距离 $$ \mathcal{L}C = \frac{1}{2} \sum}^N | \bold{x{i}-\bold{\mu} $$}|_{2}^{2
主要问题是
- $\mu$ 很容易聚到一起, 所以一般是联合softmax一起使用
- 没有logits逻辑输出值,没有概率。

论文:A Discriminative Feature Learning Approach for Deep Face Recognition, ECCV 2016 https://link.springer.com/chapter/10.1007/978-3-319-46478-7_31
径向基核距离¶
Radial Basis Function $$ \psi(X) = \psi(|X - C|) $$ 本论文里使用的是高斯: $$ K_{i, j}=K_{\mathrm{RBF}}\left(\boldsymbol{x}{i}, \boldsymbol{W}}\right)=e^{-\frac{d_{i, j}}{\gamma}}=e^{-\frac{\left|\boldsymbol{x{i}-\boldsymbol{W} $$}\right|_{2}^{2}}{\gamma}
Radial Basis Function Softmax loss:

这篇论文里,有对softmax不足的分析, Rethinking Softmax Cross-Entropy Loss for Adversarial Robustness 也有分析 softmax, cross-entropy 的不好
论文:RBF-Softmax: Learning Deep Representative Prototypes with Radial Basis Function Softmax, ECCV 2020 https://www.ecva.net/papers/eccv_2020/papers_ECCV/papers/123710290.pdf
从分布¶



总结¶
Github上 PyTorch 实现
https://github.com/YirongMao/softmax_variants